Company Information
ISIN Code
PK0110601017
Sector
PROPERTY
Industry
PROPERTY
CEO
Muhammad Ali Jameel
Website
Phone
922137130227
Company Size
21 employees
Address
20Floor, Sky Tower-East Wing, Dolmen City, HC-3, Block 4, Abdul Sattar Edhi Avenue, Clifton, Karachi
About the Company
TPL Properties Limited was incorporated in Pakistan as a private limited company on February 14, 2007 under the repealed Companies Ordinance, 1984. Subsequently in 2016, the Company had changed its status from private limited company to public company. The principal activity of the Company is to invest, purchase, develop and build real estate and to sell, rent out or otherwise dispose of in any manner the real estate including commercial and residential buildings, houses, shops, plots or other premises.
Employee History
| Year | Number of Employees |
|---|---|
| 2025 | 229 |
| 2024 | 21 |
| 2023 | 21 |
| 2022 | 44 |
| 2021 | 22 |
Recent Announcements (Last 6 Months)
| Date | Title | Attachments |
|---|---|---|
| 2025-09-22 | Board Meeting Rescheduled | Image PDF |
| 2025-09-25 | Postponement of Board Meeting and Cessation of Closed Period of TPL Properties Limited (the Company) | Image PDF |
| 2025-09-26 | Extension for Holding the Annual General Meeting of TPL Properties Limited for the Year 2025 | Image PDF |
| 2025-10-02 | Disclosure of Interest by a Director CEO, or Executive of a listed company and their Spouses and the Substantial Shareholders u/c 5.6.1.(d) of PSX Regulations | Image PDF |
| 2025-10-03 | Disclosure of Interest by a Director CEO, or Executive of a listed company and their Spouses and the Substantial Shareholders u/c 5.6.1.(d) of PSX Regulations | Image PDF |
| 2025-10-03 | Disclosure of Interest by a Director CEO, or Executive of a listed company and their Spouses and the Substantial Shareholders u/c 5.6.1.(d) of PSX Regulations | Image PDF |
| 2025-10-08 | Disclosure of Interest by a Director CEO, or Executive of a listed company and their Spouses and the Substantial Shareholders u/c 5.6.1.(d) of PSX Regulations | Image PDF |
| 2025-10-09 | Disclosure of Interest by a Director CEO, or Executive of a listed company and their Spouses and the Substantial Shareholders u/c 5.6.1.(d) of PSX Regulations | Image PDF |
| 2025-10-10 | Disclosure of Interest by a Director CEO, or Executive of a listed company and their Spouses and the Substantial Shareholders u/c 5.6.1.(d) of PSX Regulations | Image PDF |
| 2025-10-10 | Disclosure of Interest by a Director CEO, or Executive of a listed company and their Spouses and the Substantial Shareholders u/c 5.6.1.(d) of PSX Regulations | Image PDF |
| 2025-10-13 | Disclosure of Interest by a Director CEO, or Executive of a listed company and their Spouses and the Substantial Shareholders u/c 5.6.1.(d) of PSX Regulations | Image PDF |
| 2025-10-14 | Disclosure of Interest by a Director CEO, or Executive of a listed company and their Spouses and the Substantial Shareholders u/c 5.6.1.(d) of PSX Regulations | Image PDF |
| 2025-10-15 | Disclosure of Interest by a Director CEO, or Executive of a listed company and their Spouses and the Substantial Shareholders u/c 5.6.1.(d) of PSX Regulations | Image PDF |
| 2025-10-15 | Disclosure of Interest by a Director CEO, or Executive of a listed company and their Spouses and the Substantial Shareholders u/c 5.6.1.(d) of PSX Regulations | Image PDF |
| 2025-10-16 | Approval of Extension in Time for Holding the Annual General Meeting / Annual Review Meeting for the Year Ended June 30, 2025 | Image PDF |
| 2025-10-16 | Disclosure of Interest by a Director CEO, or Executive of a listed company and their Spouses and the Substantial Shareholders u/c 5.6.1.(d) of PSX Regulations | Image PDF |
| 2025-10-16 | Disclosure of Interest by a Director CEO, or Executive of a listed company and their Spouses and the Substantial Shareholders u/c 5.6.1.(d) of PSX Regulations | Image PDF |
| 2025-10-17 | Disclosure of Interest by a Director CEO, or Executive of a listed company and their Spouses and the Substantial Shareholders u/c 5.6.1.(d) of PSX Regulations | Image PDF |
| 2025-10-17 | Disclosure of Interest by a Director CEO, or Executive of a listed company and their Spouses and the Substantial Shareholders u/c 5.6.1.(d) of PSX Regulations | Image PDF |
| 2025-10-20 | Disclosure of Interest by a Director CEO, or Executive of a listed company and their Spouses and the Substantial Shareholders u/c 5.6.1.(d) of PSX Regulations | Image PDF |
| 2025-10-20 | Disclosure of Interest by a Director CEO, or Executive of a listed company and their Spouses and the Substantial Shareholders u/c 5.6.1.(d) of PSX Regulations | Image PDF |
| 2025-10-21 | Disclosure of Interest by a Director CEO, or Executive of a listed company and their Spouses and the Substantial Shareholders u/c 5.6.1.(d) of PSX Regulations | Image PDF |
| 2025-10-21 | Disclosure of Interest by a Director CEO, or Executive of a listed company and their Spouses and the Substantial Shareholders u/c 5.6.1.(d) of PSX Regulations | Image PDF |
| 2025-10-22 | Disclosure of Interest by a Director CEO, or Executive of a listed company and their Spouses and the Substantial Shareholders u/c 5.6.1.(d) of PSX Regulations | Image PDF |
| 2025-10-23 | Disclosure of Interest by a Director CEO, or Executive of a listed company and their Spouses and the Substantial Shareholders u/c 5.6.1.(d) of PSX Regulations | Image PDF |
| 2025-10-23 | Disclosure of Interest by a Director CEO, or Executive of a listed company and their Spouses and the Substantial Shareholders u/c 5.6.1.(d) of PSX Regulations | Image PDF |
| 2025-11-04 | Disclosure of Interest by a Director CEO, or Executive of a listed company and their Spouses and the Substantial Shareholders u/c 5.6.1.(d) of PSX Regulations | Image PDF |
| 2025-11-04 | Disclosure of Interest by a Director CEO, or Executive of a listed company and their Spouses and the Substantial Shareholders u/c 5.6.1.(d) of PSX Regulations | Image PDF |
| 2025-11-05 | Disclosure of Interest by a Director CEO, or Executive of a listed company and their Spouses and the Substantial Shareholders u/c 5.6.1.(d) of PSX Regulations | Image PDF |
| 2025-11-07 | Board Meeting | Image |
| 2025-11-07 | Board Meeting | Image |
| 2025-11-14 | Financial Results for the Year Ended June 30, 2025 | Image PDF |
| 2025-11-14 | Financial Results for the Quarter Ended September 30, 2025 | Image PDF |
| 2025-11-28 | Transmission of Quarterly Report for the Period Ended September 30, 2025 | Image |
| 2025-12-03 | Disclosure of Interest by a Director CEO, or Executive of a listed company and their Spouses and the Substantial Shareholders u/c 5.6.1.(d) of PSX Regulations | Image PDF |
| 2025-12-03 | Disclosure of Interest by a Director CEO, or Executive of a listed company and their Spouses and the Substantial Shareholders u/c 5.6.1.(d) of PSX Regulations | Image PDF |
| 2025-12-05 | Notice of Annual General Meeting | Image PDF |
| 2025-12-08 | Transmission of Annual Report for the Year Ended 30-06-2025 | Image PDF |
| 2025-12-08 | Newspaper clippings of the Notice of Annual General Meeting for TPL Properties Limited | Image PDF |
| 2025-12-19 | Election of Directors - Notice under Section 159(4) of the Companies Act, 2017 | Image PDF |
| 2025-12-26 | Disclosure of Interest by a Director CEO, or Executive of a listed company and their Spouses and the Substantial Shareholders u/c 5.6.1.(d) of PSX Regulations | Image |
| 2025-12-29 | CERTIFIED COPY OF THE RESOLUTIONS PASSED AND ADOPTED BY THE SHAREHOLDERS OF TPL PROPERTIES LIMITED | Image PDF |
| 2026-01-01 | Disclosure of Interest by a Director CEO, or Executive of a listed company and their Spouses and the Substantial Shareholders u/c 5.6.1.(d) of PSX Regulations | Image |
| 2026-01-06 | Disclosure of Interest by a Director CEO, or Executive of a listed company and their Spouses and the Substantial Shareholders u/c 5.6.1.(d) of PSX Regulations | Image |
| 2026-01-07 | Disclosure of Interest by a Director CEO, or Executive of a listed company and their Spouses and the Substantial Shareholders u/c 5.6.1.(d) of PSX Regulations | Image |
| 2026-01-12 | Disclosure of Interest by a Director CEO, or Executive of a listed company and their Spouses and the Substantial Shareholders u/c 5.6.1.(d) of PSX Regulations | Image |
| 2026-01-13 | Re-appointment of Chief Executive Officer | Image |
| 2026-01-22 | Corporate Briefing Session on the Companys Business and Financial Results for the Financial Year Ended June 30, 2025 | Image PDF |
| 2026-01-27 | Revision to the Presentation for the Corporate Briefing Session on the Company s Business and Financial Results for the Financial Year Ended June 30, 2025 | Image PDF |
| 2026-01-26 | Presentation for the Corporate Briefing Session on the Company s Business and Financial Results for the Financial Year Ended June 30, 2025 | Image PDF |
| 2026-01-28 | Video Recording of Corporate Briefing Session (CBS) | Image PDF |
| 2026-01-30 | Disclosure of Interest by a Director CEO, or Executive of a listed company and their Spouses and the Substantial Shareholders u/c 5.6.1.(d) of PSX Regulations | Image |
| 2026-02-18 | Board Meeting | Image |
| 2026-02-27 | Transmission of Quarterly Report for the Period Ended 31-12-2025 | Image PDF |
| 2026-03-05 | Disclosure of Interest by a Director CEO, or Executive of a listed company and their Spouses and the Substantial Shareholders u/c 5.6.1.(d) of PSX Regulations | Image |
| 2026-03-06 | Disclosure of Interest by a Director CEO, or Executive of a listed company and their Spouses and the Substantial Shareholders u/c 5.6.1.(d) of PSX Regulations | Image |
| 2026-03-06 | Disclosure of Interest by a Director CEO, or Executive of a listed company and their Spouses and the Substantial Shareholders u/c 5.6.1.(d) of PSX Regulations | Image |
| 2026-03-18 | Disclosure of Interest by a Director CEO, or Executive of a listed company and their Spouses and the Substantial Shareholders u/c 5.6.1.(d) of PSX Regulations | Image |
Financial Reports (Current Year)
Insider Transactions
| Date | Name | Position | Action | Quantity | Rate (Rs.) | Attachment |
|---|---|---|---|---|---|---|
| 2026-03-19 | Mohammad Ali Jameel | Executive Director | Sell | 900,000 | 6.98 | View |
| 2026-03-18 | Mohammad Ali Jameel | Executive Director | Sell | 900,000 | 6.98 | View |
| 2026-03-06 | TPL Corp Limited | Substantial Shareholder | Sell | 7,110,000 | 7.42 | View |
| 2026-01-30 | Mohammad Ali Jameel | Executive Director | Sell | 9,400,000 | 12.11 | View |
| 2026-01-30 | Mohammad Ali Jameel | Executive Director | Buy | 8,200,000 | 12.21 | View |
| 2026-01-30 | TPL Corp Limited | Substantial Shareholder | Buy | 1,500,000 | 12.19 | View |
| 2026-01-30 | TPL Corp Limited | Substantial Shareholder | Sell | 1,500,000 | 12.05 | View |
| 2026-01-12 | TPL Corp Limited | Substantial Shareholder | Buy | 1,500,000 | 12.28 | View |
| 2026-01-07 | Mohammad Ali Jameel | Executive Director | Buy | 3,000,000 | 12.04 | View |
| 2026-01-06 | TPL Corp Limited | Substantial Shareholder | Sell | 4,000,000 | 12.15 | View |
| 2026-01-01 | TPL Corp Limited | Substantial Shareholder | Sell | 7,110,000 | 11.85 | View |
| 2025-12-26 | TPL Corp Limited | Substantial Shareholder | Sell | 1,500,000 | 12.39 | View |
| 2025-12-03 | TPL Corp Limited | Substantial Shareholder | Buy | 12,170,000 | 10.89 | View |
| 2025-12-03 | TPL Corp Limited | Substantial Shareholder | Sell | 9,610,000 | 10.79 | View |
| 2025-11-05 | TPL Corp Limited | Substantial Shareholder | Sell | 1,500,000 | 9.97 | View |
| 2025-11-04 | Mohammad Ali Jameel | Executive Director | Buy | 9,500,000 | 10.20 | View |
| 2025-10-23 | TPL Corp Limited | Substantial Shareholder | Sell | 7,446,998 | 11.60 | View |
| 2025-10-22 | TPL Corp Limited | Substantial Shareholder | Sell | 1,650,200 | 11.88 | View |
| 2025-10-21 | TPL Corp Limited | Substantial Shareholder | Sell | 2,862,206 | 11.88 | View |
| 2025-10-21 | Mohammad Ali Jameel | Executive Director | Sell | 430,000 | 11.99 | View |
| 2025-10-20 | Mohammad Ali Jameel | Executive Director | Sell | 1,014,485 | 12.03 | View |
| 2025-10-20 | TPL Corp Limited | Substantial Shareholder | Sell | 918,960 | 11.92 | View |
| 2025-10-17 | TPL Corp Limited | Substantial Shareholder | Sell | 945,000 | 11.94 | View |
| 2025-10-17 | Mohammad Ali Jameel | Executive Director | Sell | 950,000 | 11.95 | View |
| 2025-10-14 | TPL Corp Limited | Substantial Shareholder | Sell | 500,000 | 10.89 | View |
| 2025-10-13 | TPL Corp Limited | Substantial Shareholder | Sell | 577,840 | 11.12 | View |
| 2025-10-10 | Mohammad Ali Jameel | Executive Director | Sell | 1,700,000 | 11.53 | View |
| 2025-10-09 | Mohammad Ali Jameel | Executive Director | Sell | 1,834,363 | 11.88 | View |
| 2025-10-06 | Mohammad Ali Jameel | Executive Director | Buy | 4,500,000 | 11.94 | View |
| 2025-10-06 | TPL Corp Limited | Substantial Shareholder | Sell | 5,610,000 | 11.65 | View |
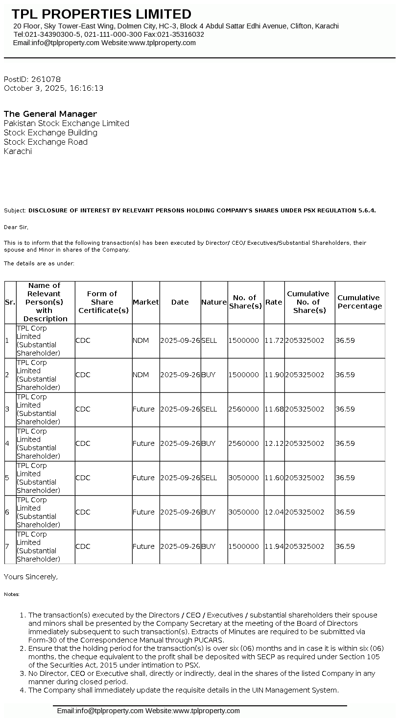
| 2025-10-03 | TPL Corp Limited | Substantial Shareholder | Sell | 1,500,000 | 11.72 | View |
| 2025-10-03 | Mohammad Ali Jameel | Executive Director | Sell | 4,500,000 | 11.64 | View |
| 2025-10-03 | TPL Corp Limited | Substantial Shareholder | Buy | 8,610,000 | 12.00 | View |
| 2025-10-02 | Muhammad Ali Jameel | Executive Director | Buy | 2,500,000 | 12.13 | View |
| 2025-10-02 | Muhammad Ali Jameel | Executive Director | Sell | 2,500,000 | 11.90 | View |
| 2025-07-31 | TPL Corp Limited | Substantial Shareholder | Sell | 994,500 | 9.80 | View |
| 2025-07-31 | TPL Corp Limited | Substantial Shareholder | Sell | 2,004,000 | 9.79 | View |
| 2025-07-31 | TPL Corp Limited | Substantial Shareholder | Sell | 1,500 | 9.75 | View |
| 2025-07-31 | TPL Corp Limited | Substantial Shareholder | Sell | 50,000 | 9.78 | View |
| 2025-07-31 | TPL Corp Limited | Substantial Shareholder | Buy | 2,560,000 | 10.01 | View |
| 2025-07-31 | TPL Corp Limited | Substantial Shareholder | Sell | 2,560,000 | 9.79 | View |
| 2025-07-31 | TPL Corp Limited | Substantial Shareholder | Buy | 1,000,000 | 10.02 | View |
| 2025-07-31 | TPL Corp Limited | Substantial Shareholder | Buy | 2,050,000 | 10.01 | View |
| 2025-07-17 | Mohammad Ali Jameel | Executive Director | Buy | 1,000,000 | 11.50 | View |
| 2025-07-17 | Mohammad Ali Jameel | Executive Director | Buy | 500,000 | 11.30 | View |
| 2025-07-17 | Mohammad Ali Jameel | Executive Director | Buy | 500,000 | 11.25 | View |
| 2025-07-17 | Mohammad Ali Jameel | Executive Director | Buy | 2,500,000 | 10.80 | View |
| 2025-07-17 | Mohammad Ali Jameel | Executive Director | Sell | 1,500,000 | 11.05 | View |
| 2025-07-17 | Mohammad Ali Jameel | Executive Director | Sell | 3,000,000 | 10.54 | View |
| 2025-04-10 | TPL Corp Limited | Substantial Shareholder | Sell | 5,000,000 | 10.59 | View |
| 2025-04-03 | TPL Corp Limited | Substantial Shareholder | Buy | 5,610,000 | 11.03 | View |
| 2025-03-27 | Muhammad Ali Jameel | Executive Director | Buy | 10,000,000 | 11.15 | View |
| 2025-03-27 | TPL Corp Limited | Substantial Shareholder | Sell | 20,000,000 | 10.59 | View |
| 2024-07-31 | TPL Crop Limited | Substantial Shareholder | Sell | 5,610,000 | 8.08 | View |
| 2024-07-31 | TPL Crop Limited | Substantial Shareholder | Buy | 5,610,000 | 8.37 | View |
| 2024-01-31 | TPL Crop Limited | Substantial Shareholder | Buy | 5,625,000 | 12.58 | View |
| 2024-01-31 | TPL Crop Limited | Substantial Shareholder | Sell | 5,625,000 | 12.33 | View |
| 2023-10-03 | TPL Crop Limited | Substantial Shareholder | Buy | 5,625,000 | 12.70 | View |
| 2023-10-03 | TPL Crop Limited | Substantial Shareholder | Sell | 5,625,000 | 12.30 | View |
| 2023-08-01 | TPL Corp Limited | Substantial Shareholder | Buy | 8,200,000 | 14.06 | View |
| 2023-08-01 | TPL Crop Limited | Substantial Shareholder | Sell | 8,675,000 | 13.49 | View |
| 2023-06-20 | TPL Crop Limited | Substantial Shareholder | Sell | 3,050,000 | 13.50 | View |
| 2023-06-20 | TPL Crop Limited | Substantial Shareholder | Sell | 1,000,000 | 13.73 | View |
| 2023-06-20 | TPL Crop Limited | Substantial Shareholder | Buy | 1,000,000 | 13.73 | View |
| 2023-06-20 | TPL Crop Limited | Substantial Shareholder | Buy | 2,575,000 | 12.14 | View |
| 2023-06-20 | TPL Crop Limited | Substantial Shareholder | Sell | 2,575,000 | 13.61 | View |
| 2023-06-20 | TPL Crop Limited | Substantial Shareholder | Buy | 3,050,000 | 12.06 | View |
| 2023-05-25 | TPL Crop Limited | Substantial Shareholder | Sell | 1,500,000 | 12.62 | View |
| 2023-05-25 | TPL Crop Limited | Substantial Shareholder | Sell | 3,050,000 | 13.13 | View |
| 2023-05-25 | TPL Crop Limited | Substantial Shareholder | Sell | 1,025,000 | 13.12 | View |
| 2023-05-25 | TPL Crop Limited | Substantial Shareholder | Sell | 3,050,000 | 12.62 | View |
| 2023-05-25 | TPL Crop Limited | Substantial Shareholder | Sell | 1,075,000 | 12.61 | View |
| 2023-03-31 | TPL Crop Limited | Substantial Shareholder | Buy | 3,050,000 | 14.95 | View |
| 2023-03-31 | TPL Crop Limited | Substantial Shareholder | Sell | 3,050,000 | 14.36 | View |
| 2023-02-15 | TPL Corp Limited | Substantial shareholder | Buy | 3,459,026 | 15.80 | View |
| 2023-02-15 | Mohammad Ali Jameel | Executive Director | Sell | 1,200,000 | 15.90 | View |
| 2023-01-31 | TPL Corp Limited | Substantial shareholder | Sell | 1,000,000 | 16.03 | View |
| 2023-01-31 | TPL Corp Limited | Substantial shareholder | Buy | 1,000,000 | 16.57 | View |
| 2023-01-31 | TPL Corp Limited | Substantial shareholder | Buy | 1,550,000 | 16.55 | View |
| 2023-01-31 | TPL Corp Limited | Substantial shareholder | Buy | 25,000 | 16.54 | View |
| 2023-01-31 | TPL Corp Limited | Substantial shareholder | Sell | 1,000,000 | 16.05 | View |
| 2023-01-31 | TPL Corp Limited | Substantial shareholder | Sell | 1,475,000 | 16.03 | View |
| 2023-01-31 | TPL Corp Limited | Substantial shareholder | Sell | 25,000 | 16.02 | View |
| 2023-01-31 | TPL Corp Limited | Substantial shareholder | Buy | 550,000 | 16.57 | View |
| 2023-01-31 | TPL Corp Limited | Substantial shareholder | Buy | 1,000,000 | 16.55 | View |
| 2023-01-31 | TPL Corp Limited | Substantial shareholder | Buy | 1,500,000 | 16.54 | View |
| 2023-01-31 | TPL Corp Limited | Substantial shareholder | Sell | 1,500,000 | 16.02 | View |
| 2023-01-31 | TPL Corp Limited | Substantial shareholder | Sell | 550,000 | 16.05 | View |
| 2023-01-18 | Khalid Mahmood | Independent Director | Buy | 2,000 | 19.40 | View |
| 2023-01-06 | Khalid Mahmood | Independent Director | Buy | 2,000 | 19.40 | View |
| 2022-11-18 | TPL Corp Limited | Substantial Shareholder | Buy | 1,500,000 | 19.82 | View |
| 2022-11-18 | TPL Corp Limited | Substantial Shareholder | Buy | 1,000,000 | 19.84 | View |
| 2022-11-18 | TPL Corp Limited | Substantial Shareholder | Sell | 1,500,000 | 19.09 | View |
| 2022-11-18 | TPL Corp Limited | Substantial Shareholder | Sell | 70,000 | 19.12 | View |
| 2022-11-18 | TPL Corp Limited | Substantial Shareholder | Sell | 930,000 | 19.11 | View |
| 2022-11-15 | TPL Corp Limited | Substantial Shareholder | Sell | 1,000,000 | 19.27 | View |
| 2022-11-15 | TPL Corp Limited | Substantial Shareholder | Sell | 1,500,000 | 19.24 | View |
| 2022-02-11 | Alpha Beta Capital (Private) Limited | Substantial Shareholder | sell | 1,000,000 | 35.13 | No attachment |
| 2012-05-22 | TPL Corp Limited | Substantial Shareholder | buy | 25,041 | 16.49 | No attachment |
| 2012-05-22 | TPL Corp Limited | Substantial Shareholder | buy | 16,857 | 16.48 | No attachment |
| 2012-05-22 | TPL Corp Limited | Substantial Shareholder | buy | 15,011 | 16.40 | No attachment |
| 2012-05-22 | TPL Corp Limited | Substantial Shareholder | buy | 4,900 | 16.46 | No attachment |
| 2012-05-22 | TPL Corp Limited | Substantial Shareholder | buy | 1,000 | 16.42 | No attachment |
| 2012-05-22 | TPL Corp Limited | Substantial Shareholder | buy | 90 | 16.41 | No attachment |
| 2012-05-22 | TPL Corp Limited | Substantial Shareholder | buy | 1 | 16.44 | No attachment |
| 2012-05-22 | TPL Corp Limited | Substantial Shareholder | buy | 500 | 16.47 | No attachment |
| 2012-05-22 | TPL Corp Limited | Substantial Shareholder | buy | 409,600 | 16.50 | No attachment |
| 2012-05-22 | TPL Corp Limited | Substantial Shareholder | buy | 27,000 | 16.45 | No attachment |
| 2012-04-22 | Alpha Beta Capital (Private) Limited | Substantial Shareholder | sell | 485,000 | 21.45 | No attachment |
| 2012-04-22 | Alpha Beta Capital (Private) Limited | Substantial Shareholder | sell | 30,000 | 20.15 | No attachment |
| 2012-04-22 | Alpha Beta Capital (Private) Limited | Substantial Shareholder | sell | 4,000 | 20.13 | No attachment |
| 2012-04-22 | Alpha Beta Capital (Private) Limited | Substantial Shareholder | sell | 40,500 | 20.11 | No attachment |
| 2012-04-22 | Alpha Beta Capital (Private) Limited | Substantial Shareholder | sell | 423,466 | 20.10 | No attachment |
| 2012-04-22 | Alpha Beta Capital (Private) Limited | Substantial Shareholder | sell | 50 | 20.01 | No attachment |
| 2012-04-22 | Alpha Beta Capital (Private) Limited | Substantial Shareholder | sell | 16,984 | 20.00 | No attachment |
| 2005-04-22 | Alpha Beta Capital (Private) Limited | Substantial Shareholder | sell | 10,757 | 20.81 | No attachment |
| 2005-04-22 | Alpha Beta Capital (Private) Limited | Substantial Shareholder | sell | 8,856 | 20.91 | No attachment |
| 2005-04-22 | Alpha Beta Capital (Private) Limited | Substantial Shareholder | sell | 18,000 | 20.90 | No attachment |
| 2005-04-22 | Alpha Beta Capital (Private) Limited | Substantial Shareholder | sell | 150 | 20.86 | No attachment |
| 2005-04-22 | Alpha Beta Capital (Private) Limited | Substantial Shareholder | sell | 14,542 | 20.85 | No attachment |
| 2005-04-22 | Alpha Beta Capital (Private) Limited | Substantial Shareholder | sell | 76,424 | 20.82 | No attachment |
| 2005-04-22 | Alpha Beta Capital (Private) Limited | Substantial Shareholder | sell | 871,271 | 20.80 | No attachment |
Price History (Last 30 Days)
| Date | Price (Rs.) | Volume | Market Cap |
|---|---|---|---|
| 2026-03-19 | 6.73 | 1.15M | 3.78B |
| 2026-03-18 | 6.83 | 4.27M | 3.83B |
| 2026-03-17 | 6.84 | 1.21M | 3.84B |
| 2026-03-16 | 6.93 | 1.25M | 3.89B |
| 2026-03-13 | 6.95 | 2.71M | 3.9B |
| 2026-03-12 | 6.91 | 1.32M | 3.88B |
| 2026-03-11 | 7.01 | 2.14M | 3.93B |
| 2026-03-10 | 7.22 | 2.85M | 4.05B |
| 2026-03-09 | 6.53 | 3.18M | 3.66B |
| 2026-03-06 | 7.30 | 2.66M | 4.1B |
| 2026-03-05 | 7.64 | 8.51M | 4.29B |
| 2026-03-04 | 6.74 | 6.33M | 3.78B |
| 2026-03-03 | 6.54 | 6.7M | 3.67B |
| 2026-03-02 | 6.68 | 5.13M | 3.75B |
| 2026-02-27 | 7.68 | 7.51M | 4.31B |
| 2026-02-26 | 7.82 | 25.85M | 4.39B |
| 2026-02-25 | 8.81 | 3.25M | 4.94B |
| 2026-02-24 | 8.91 | 3.54M | 5B |
| 2026-02-23 | 8.95 | 2.92M | 5.02B |
| 2026-02-20 | 9.55 | 4.01M | 5.36B |
| 2026-02-19 | 9.76 | 3.36M | 5.48B |
| 2026-02-18 | 10.42 | 3.91M | 5.85B |