Company Insider Transactions

Insider Transactions
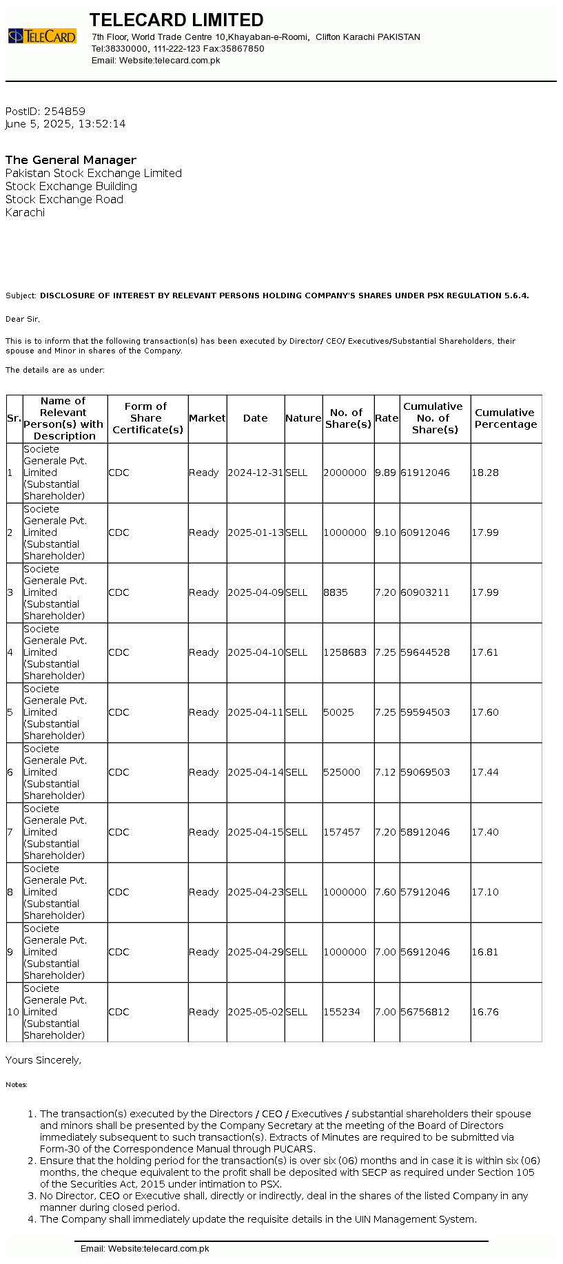
Symbol Name Position Action Rate Qty Date Attachment
Tariq Javed Executive Director Buy 9 800,000 2026-03-19 View
Siemens AG-Germany Substantial Shareholder Buy 1516 1,345 2026-03-19 View
Mohammad Ali Jameel Executive Director Sell 6.98 900,000 2026-03-19 View
Safdar Ali Butt Non-Executive Director Sell 9 800,000 2026-03-19 View
KSB SE and CO KGaA Germany Substantial Shareholder Buy 190.55 35,416 2026-03-19 View
Abbas Sarfaraz Khan Executive Director Buy 331 10,135 2026-03-19 View
Admiral Private Limited Substantial Shareholder Buy 379.32 57,982 2026-03-19 View
Noman Yakoob Executive Director Buy 60 8,052 2026-03-19 View
Iram Masood Substantial Shareholder Sell 26 1,000,000 2026-03-19 View
Dr. Zeeshan Bin Ishtiaque Executive Buy 478 267 2026-03-19 View
Asif Nathani Substantial Shareholder Buy 11.97 11,371 2026-03-19 View
Iram Masood Substantial Shareholder Sell 26.53 4,410,793 2026-03-19 View
Muhammad Saeed uz Zaman Non-Executive Director Buy 149.25 20,000 2026-03-18 View
Mohammad Ali Jameel Executive Director Sell 6.98 900,000 2026-03-18 View
Mr. Abbas Sarfaraz Khan Non-Executive Director Buy 60 5,000 2026-03-18 View
Mr. Abbas Sarfaraz Khan Non-Executive Director Buy 60 5,000 2026-03-18 View
TrueNorth Advisors (Pvt) Limited Substantial Shareholder Buy 372.92 13,500 2026-03-18 View
Muhammad Tousif Peracha Executive Director Buy 41.09 6,525 2026-03-18 View
Tariq Javed Executive Director Buy 9 800,000 2026-03-18 View
Siemens AG-Germany Substantial Shareholder Buy 1516 1,345 2026-03-18 View
Iram Masood Substantial Shareholder Sell 26.53 4,410,793 2026-03-18 View
Weavers Pakistan (Pvt) Ltd Substantial Shareholder Sell 40 600,000 2026-03-17 View
Dr. Manzoor H. Qazi Non-Executive Director Sell 480 500 2026-03-17 View
Mr. Shams Ur Rehman Abbasi Senior Management Buy 475 500 2026-03-17 View
Mr. Abbas Sarfaraz Khan Non-Executive Director Buy 60 441 2026-03-17 View
Hanna Khan Non-Executive Director Buy 12.39 5,000 2026-03-17 View
Adeeb Ahmad Executive Director Buy 7 500 2026-03-17 View
Farrukh Yaseen Independent Director Buy 120.5 1,000 2026-03-17 View
Weavers Pakistan (Pvt) Ltd Substantial Shareholder Buy 40.5 600,000 2026-03-17 View
Jamshed Minoo Bhandara Substantial Shareholder Buy 840 100,000 2026-03-16 View
Abdul Aleem Qureshi Senior Management Buy 365.7 25,000 2026-03-16 View
Shahzad Mukhtar Deshmukh Executive Buy 345.78 100 2026-03-16 View
Idrees Ahmed Sheikh Executive Director Buy 1925 8,000 2026-03-16 View
Col Salar Malik (Retd) Senior Management Buy 499 2,000 2026-03-16 View
Haroon Khan Executive Director Buy 226.8 1,207 2026-03-16 View
Haroon Khan Executive Director Buy 2268.13 1,207 2026-03-16 View
Umair Khursheed Executive Buy 347 200 2026-03-16 View
Hamza Atta Sheikh Non-Executive Director Buy 83.4 10,000 2026-03-16 View
Nadeem Atta Sheikh Executive Director Buy 79.93 490,742 2026-03-16 View
Hanna Khan Non-Executive Director Buy 12.66 5,000 2026-03-16 View
Siemens AG-Germany Substantial Shareholder Buy 1516 86 2026-03-16 View
Mr. Abbas Sarfaraz Khan Non-Executive Director Buy 62 500 2026-03-16 View
Frauque Private Limited Substantial Shareholder Buy 233.13 130,000 2026-03-16 View
Frauque Private Limited Substantial Shareholder Buy 233.13 130,000 2026-03-16 View
Admiral Private Limited Substantial Shareholder Buy 308.92 1,929 2026-03-16 View
Talha Saeed Ahmed Independent Director Buy 80.17 5,500 2026-03-16 View

LEGAL NOTICE

UNAUTHORIZED USE OF BRACKLY CAPITAL DATA

The information displayed on this website is obtained from publicly available sources and/or generated using artificial intelligence (AI).

While we strive to ensure accuracy, Brackly Capital does not guarantee the completeness, reliability, or correctness of this data.

Users are strictly advised to verify all information independently from official or authoritative sources before making any decisions.

Unauthorized copying, redistribution, commercial use, or misuse of Brackly Capital data is strictly prohibited.

By using this website, you acknowledge and agree to these terms.

Fast and reliable withdrawal/deposit method

ALLIED BANK LIMITED
ASKARI BANK LIMITED
BANK ALFALAH LIMITED
BANK AL HABIB LIMITED
DUBAI ISLAMIC BANK
FAYSAL BANK LIMITED
HABIB BANK LIMITED
HABIB METRO BANK
BANK ISLAMI
JS BANK LIMITED
BANK OF KHYBER
MCB BANK LIMITED
MEEZAN BANK LIMITED
NATIONAL BANK LIMITED
SINDH BANK LIMITED
SONERI BANK LIMITED
SUMMIT BANK LIMITED
UNITED BANK LIMITED

As per the Law, we don't accept Cash, EasyPaisa, JazzCash and other Mobile Wallet right now.

Title IBAN Branch

Traders #1 Choice

True MMK Account

Voted by professionals

  • Minimum Commissions
  • Zero Deposit Fees
Open your account
Top